Вернуться к содержанию учебника
9. К празднику купили 14 красных воздушных шариков, зелёных на 2 больше, чем красных, а синих столько, сколько красных и зелёных вместе.

Рассмотри схематический чертёж и объясни, что обозначают выражения:
14 + 2; 14 + (14 + 2).
Повтори действия с двузначными числами и порядок действий при нахождении значения выражения со скобками..
Выберите год учебника
Стр. 73 учебника 2011-2022:
10. У хозяйки 8 уток, гусей на 2 меньше, чем уток, а кур столько, сколько уток и гусей вместе. Сколько кур у хозяйки?
Стр. 73 учебника 2023-2024:
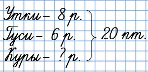
10. У бабушки в хозяйстве утки, куры и гуси, всего 20 птиц. Уток 8, гусей 6, а остальные - куры. Сколько кур в хозяйстве бабушки?
При решении этой задачи Петя и Коля получили разные ответы: Петя - 14 кур; Коля - 6 кур. У кого из них верный ответ?
Стр. 73 учебника 2011-2022:
Вспомни, что значит на 2 меньше.
Повтори, как решать числовое выражение со скобками.
Стр. 73 учебника 2023-2024:
Повтори, что такое задача.
Стр. 73 учебника 2011-2022:
Решение
1) 8 - 2 = 6 (г.)
2) 8 + 6 = 14 (к.)
Ответ: у хозяйки 14 кур.
Пояснение

1) На 2 меньше. Уменьшение. Вычитание. Знак минус.
1) Столько, сколько вместе. Увеличение. Сложение. Знак плюс.
Стр. 73 учебника 2023-2024:
Решение
1) 8 + 6 = 14 (к.) - уток и гусей вместе.
2) 20 - 14 = 6 (к.)
Ответ: у хозяйки 6 кур.
Коля дал верный ответ.
Пояснение

Выберите год учебника
Стр. 73 учебника 2011-2022:
11. Запиши все однозначные числа. Увеличь каждое из них на 9.
Стр. 73 учебника 2023-2024:
11.
36 4 8 = 32 | 57 6 6 = 57 |
36 4 8 = 48 | 80 9 9 = 98 |
Стр. 73 учебника 2011-2022:
Стр. 73 учебника 2023-2024:
Стр. 73 учебника 2011-2022:
Решение
0, 1, 2, 3, 4, 5, 6, 7, 8, 9.
9, 10, 11, 12, 13, 14, 15, 16, 17, 18.
Пояснение
| 0 + 9 = 9 1 + 9 = 10 2 + 9 = 11 3 + 9 = 12 4 + 9 = 13 | 5 + 9 = 14 6 + 9 = 15 7 + 9 = 16 8 + 9 = 17 9 + 9 = 18 |
Стр. 73 учебника 2023-2024:
Решение
| 36 + 4 - 8 = 32 | 57 + 6 - 6 = 57 |
| 36 + 4 + 8 = 48 | 80 + 9 + 9 = 98 |
Пояснение
| 36 + 4 - 8 = 40 - 8 = (30 + 10) - 8 = 30 + (10 - 8) = 30 + 3 = 32 | 57 + 6 - 6 = 57 + 0 = 57 |
| 36 + 4 + 8 = 40 + 8 = 48 | 80 + 9 + 9 = 80 + (9 + 9) = 80 + 18 = 80 + 10 + 8 = 90 + 8 = 98 |
57 + 6 - 6 - прибавить 6 и сразу вычесть 6 - значит, ничего не изменилось, так и осталось 57.
Выберите год учебника
Стр. 73 учебника 2011-2022:
12. 
36 4 8 = 32 | 57 6 6 = 57 |
36 4 8 = 48 | 80 9 9 = 98 |
Стр. 73 учебника 2023-2024:
12. 1) Измерь стороны этих треугольников в миллиметрах и найди их периметры.

2) Определи, на сколько миллиметров периметр одного треугольника больше периметра другого.
Стр. 73 учебника 2011-2022:
Стр. 73 учебника 2023-2024:

Вспомни, сколько миллиметров в одном сантиметре.
Повтори, как найти периметр.
Р - это обозначение периметра в математике.
Стр. 73 учебника 2011-2022:
Решение
| 36 + 4 - 8 = 32 | 57 + 6 - 6 = 57 |
| 36 + 4 + 8 = 48 | 80 + 9 + 9 = 98 |
Пояснение
| 36 + 4 - 8 = 40 - 8 = (30 + 10) - 8 = 30 + (10 - 8) = 30 + 3 = 32 | 57 + 6 - 6 = 57 + 0 = 57 |
| 36 + 4 + 8 = 40 + 8 = 48 | 80 + 9 + 9 = 80 + (9 + 9) = 80 + 18 = 80 + 10 + 8 = 90 + 8 = 98 |
57 + 6 - 6 - прибавить 6 и сразу вычесть 6 - значит, ничего не изменилось, так и осталось 57.
Стр. 73 учебника 2023-2024:
Решение
1) Периметр красного треугольника:
30 + 30 + 15 = 75 (мм)
Периметр зелёного треугольника:
15 + 45 + 40 = 100 (мм).
2) 100 - 75 = 100 - 70 - 5 = 30 - 5 = 25 (мм)
Ответ: периметр второго треугольника больше первого на 25 мм.
Пояснение
Измеряю стороны красного треугольника и нахожу его периметр:

Измеряю стороны зелёного треугольника и нахожу его периметр:

Сравниваю периметры треугольников:
100 мм - 75 мм = 25 мм
На сколько больше? Из большего числа вычитаю меньшее. Вычитание.
Знак минус.
Выберите год учебника
Стр. 73 учебника 2011-2022:
13. 1) Измерь стороны этих треугольников в миллиметрах и найди их периметры.

2) Определи, на сколько миллиметров периметр одного треугольника больше периметра другого.
Стр. 73 учебника 2023-2024:
13.
| 13 - 6 + 8 | 30 - (24 - 9) | 3 + 47 - 20 |
| 15 - 8 + 9 | 40 - (18 - 8) | 4 + 56 - 40 |
| 14 - 9 + 8 | 60 - (32 - 7) | 6 + 74 - 50 |
Стр. 73 учебника 2011-2022:

Вспомни, сколько миллиметров в одном сантиметре.
Повтори, как найти периметр.
Р - это обозначение периметра в математике.
Стр. 73 учебника 2023-2024:
Повтори случаи табличного сложения и вычитания, порядок действий при решении числовых выражений со скобками.


Вспомни, действия с двузначными числами, с круглыми числами.
От перестановки мест слагаемых сумма не меняется.
Стр. 73 учебника 2011-2022:
Решение
1) Периметр красного треугольника:
30 + 30 + 15 = 75 (мм)
Периметр зелёного треугольника:
15 + 45 + 40 = 100 (мм).
2) 100 - 75 = 100 - 70 - 5 = 30 - 5 = 25 (мм)
Ответ: периметр второго треугольника больше первого на 25 мм.
Пояснение
Измеряю стороны красного треугольника и нахожу его периметр:

Измеряю стороны зелёного треугольника и нахожу его периметр:

Сравниваю периметры треугольников:
100 мм - 75 мм = 25 мм
На сколько больше? Из большего числа вычитаю меньшее. Вычитание.
Знак минус.
Стр. 73 учебника 2023-2024:
Решение
| 13 - 6 + 8 = 15 | 30 - (24 - 9) = 15 |
| 15 - 8 + 9 = 16 | 40 - (18 - 8) = 30 |
| 14 - 9 + 8 = 13 | 60 - (32 - 7) = 35 |
| 3 + 47 - 20 = 30 | |
| 4 + 56 - 40 = 20 | |
| 6 + 74 - 50 = 30 | |
Пояснение
| 13 - 6 + 8= 7 + 8 = 7 + 3 + 5 = 10 + 5 = 15 | 30 - (24 - 9)= 30 - (24 - 4 - 5)= 30 - (20 - 5) = 30 - 15 = 30 - (10 + 5) = 30 - 10 - 5 = 20 - 5 = 15 |
| 15 - 8 + 9 = (15 - 5 - 3) + 9 = (10 - 3) + 9 = 7 + 9 = 7 + 3 + 6 = 10 + 6 = 16 | 40 - (18 - 8) = 40 - 10 = 30 |
| 14 - 9 + 8 = (14 - 4 - 5) + 8 = (10 - 5) + 8 = 5 + 8 = 13 | 60 - (32 - 7) = 60 - (32 - 2 - 5) = 60 - (30 - 5) = 60 - 25 = 60 - 20 - 5 = 40 - 5 = 35 |
| 3 + 47 - 20 = (47 + 3) - 20 = 50 - 20 = 30 | |
| 4 + 56 - 40 = (56 + 4) - 40 = 60 - 40 = 20 | |
| 6 + 74 - 50 = (74 + 6) - 50 = 80 - 50 = 30 | |
Выберите год учебника
Стр. 73 учебника 2011-2022:
14.
| 13 - 6 + 8 | 30 - (24 - 9) | 3 + 47 - 20 |
| 15 - 8 + 9 | 40 - (18 - 8) | 4 + 56 - 40 |
| 14 - 9 + 8 | 60 - (32 - 7) | 6 + 74 - 50 |
Стр. 73 учебника 2023-2024:
14. Как разместить числа от 1 до 5 так, чтобы их сумма по каждой линии была равна 9 и числу 10? Каждую цифру на каждом рисунке можно использовать только один раз.

Стр. 73 учебника 2011-2022:
Повтори случаи табличного сложения и вычитания, порядок действий при решении числовых выражений со скобками.


Вспомни, действия с двузначными числами, с круглыми числами.
От перестановки мест слагаемых сумма не меняется.
Стр. 73 учебника 2023-2024:
Стр. 73 учебника 2011-2022:
Решение
| 13 - 6 + 8 = 15 | 30 - (24 - 9) = 15 |
| 15 - 8 + 9 = 16 | 40 - (18 - 8) = 30 |
| 14 - 9 + 8 = 13 | 60 - (32 - 7) = 35 |
| 3 + 47 - 20 = 30 | |
| 4 + 56 - 40 = 20 | |
| 6 + 74 - 50 = 30 | |
Пояснение
| 13 - 6 + 8= 7 + 8 = 7 + 3 + 5 = 10 + 5 = 15 | 30 - (24 - 9)= 30 - (24 - 4 - 5)= 30 - (20 - 5) = 30 - 15 = 30 - (10 + 5) = 30 - 10 - 5 = 20 - 5 = 15 |
| 15 - 8 + 9 = (15 - 5 - 3) + 9 = (10 - 3) + 9 = 7 + 9 = 7 + 3 + 6 = 10 + 6 = 16 | 40 - (18 - 8) = 40 - 10 = 30 |
| 14 - 9 + 8 = (14 - 4 - 5) + 8 = (10 - 5) + 8 = 5 + 8 = 13 | 60 - (32 - 7) = 60 - (32 - 2 - 5) = 60 - (30 - 5) = 60 - 25 = 60 - 20 - 5 = 40 - 5 = 35 |
| 3 + 47 - 20 = (47 + 3) - 20 = 50 - 20 = 30 | |
| 4 + 56 - 40 = (56 + 4) - 40 = 60 - 40 = 20 | |
| 6 + 74 - 50 = (74 + 6) - 50 = 80 - 50 = 30 | |
Стр. 73 учебника 2023-2024:
Решение

Пояснение
| Синяя фигура: | Красная фигура: |
| 2 + 3 + 4 = 9 1 + 3 + 5 = 9 | 2 + 5 + 3 = 10 1 + 5 + 4 = 10 |
Выберите год учебника
Стр. 73 учебника 2011-2022:
15. Как разместить числа от 1 до 5 так, чтобы их сумма по каждой линии была равна 9 и числу 10? Каждую цифру на каждом рисунке можно использовать только один раз.

Стр. 73 учебника 2023-2024:
Проверочные работы, с. 32, 33.
Стр. 73 учебника 2011-2022:
Решение

Пояснение
| Синяя фигура: | Красная фигура: |
| 2 + 3 + 4 = 9 1 + 3 + 5 = 9 | 2 + 5 + 3 = 10 1 + 5 + 4 = 10 |
Стр. 73 учебника 2023-2024:
На нашем сайте есть решение варианта 1 проверочной работы на странице 32.
На нашем сайте есть решение варианта 2 проверочной работы на странице 33.
Проверочные работы, с. 32, 33.
На нашем сайте есть решение варианта 1 проверочной работы на странице 32.
На нашем сайте есть решение варианта 2 проверочной работы на странице 33.
Вернуться к содержанию учебника