Вернуться к содержанию учебника
Выберите год учебника
Стр. 28 учебника 2011-2022:
1. Рассуждая так же, выполни деление с остатком.
| 17 : 4 | 22 : 6 | 27 : 5 | 59 : 9 | 27 : 7 |
Стр. 28 учебника 2023-2024:
1. Сколько порций по 3 блина выйдет, если всего испекли 18 блинов? 19 блинов? 25 блинов?
Стр. 28 учебника 2011-2022:
Повтори материал, как следует выполнять деление с остатком.
Стр. 28 учебника 2023-2024:
Повтори материал: случаи табличного умножения и как следует выполнять деление с остатком.
Стр. 28 учебника 2011-2022:
Решение
![]() | ![]() | ![]() |
![]() | ![]() |
Пояснение
17 : 4 = 
17 не делится на 4 без остатка. Вспомним, какое самое большое число до 17 делится на 4 без остатка. Это 16.
Найдем частное: 16 : 4 = 4.
Найдём остаток: 17 - 16 = 1.
17 : 4 = 4 (ост. 1).
22 : 6 = 
22 не делится на 6 без остатка. Вспомним, какое самое большое число до 22 делится на 6 без остатка. Это 18.
Найдем частное: 18 : 6 = 3.
Найдём остаток: 22 - 18 = 4.
22 : 6 = 3 (ост. 4).
27 : 5 = 
27 не делится на 5 без остатка. Вспомним, какое самое большое число до 27 делится на 5 без остатка. Это 25.
Найдем частное: 25 : 5 = 5.
Найдём остаток: 27 - 25 = 2.
27 : 5 = 5 (ост. 2).
59 : 9 = 
59 не делится на 9 без остатка. Вспомним, какое самое большое число до 59 делится на 9 без остатка. Это 54.
Найдем частное: 54 : 9 = 6.
Найдём остаток: 59 - 54 = 5.
59 : 9 = 6 (ост. 5).
27 : 7 = 
27 не делится на 7 без остатка. Вспомним, какое самое большое число до 27 делится на 7 без остатка. Это 21.
Найдем частное: 21 : 7 = 3.
Найдём остаток: 27 - 21 = 6.
27 : 7 = 3 (ост. 6).
Стр. 28 учебника 2023-2024:
Решение
1) 18 : 3 = 6 (п.)
2) 19: 3 = 6 (п.) (ост. 1)
3) 25 : 3 = 8 (п.) (ост. 1)
Ответ: 6 порций, 6 порций, 8 порций.
Пояснение
1) 
2) 
3) 
Выберите год учебника
Стр. 28 учебника 2011-2022:
2. Брат собрал 18 стаканов клюквы, а сестра - 6. Чтобы сварить варенье из этой клюквы, мама брала на каждый стакан ягод 2 стакана сахара. Сколько стаканов сахара ей потребовалось?
Стр. 28 учебника 2023-2024:
2. Какое самое большое число до 53 делится без остатка на 9? на 8? на 7?
Стр. 28 учебника 2011-2022:
Стр. 28 учебника 2023-2024:
Повтори, как выполняется деление с остатком.
Стр. 28 учебника 2011-2022:
Решение
1) 18 + 6 = 24 (ст.) - клюквы собрали дети.
2) 24 • 2 = 48 (ст.)
Ответ: 48 стаканов сахара потребовалось маме.
Пояснение

Стр. 28 учебника 2023-2024:
Решение
1) 45 : 9 = 5
2) 48 : 8 = 6
3) 49 : 7 = 7
Пояснение
53 : 9
Вспомним, какое самое большое число до 53 делится на 9 без остатка. Это 45.
Найдем частное: 45 : 9 = 5.
Найдём остаток: 53 - 45 = 8.
8 < 9, значит, частное подобрано правильно.
53 : 8
Вспомним, какое самое большое число до 53 делится на 8 без остатка. Это 48.
Найдем частное: 48 : 8 = 6.
Найдём остаток: 53 - 48 = 5.
5 < 8, значит, частное подобрано правильно.
53 : 7
Вспомним, какое самое большое число до 53 делится на 7 без остатка. Это 49.
Найдем частное: 49 : 7 = 7.
Найдём остаток: 53 - 49 = 4.
4 < 7, значит, частное подобрано правильно.
Выберите год учебника
Стр. 28 учебника 2011-2022:
3. Какое самое большое число до 23 делится без остатка на 3? на 4? на 6? на 8? на 9?
Стр. 28 учебника 2023-2024:
3. Вычисли и проверь деление умножением.
| 99 : 33 | 84 : 7 | 56 : 2 | 72 : 3 |
Стр. 28 учебника 2011-2022:
Вспомни как выполняется деление с остатком.
Стр. 28 учебника 2023-2024:
Повтори материал о внетабличном делении и умножении, делении двузначных чисел.
Чтобы разделить сумму на число, можно разделить на число каждое слагаемое и полученные результаты сложить.
Чтобы умножить сумму на число, можно умножить на число каждое слагаемое и полученные результаты сложить.
Стр. 28 учебника 2011-2022:
Решение
| 1) 21 : 3 = 7; 2) 20 : 4 = 5; 3) 18 : 6 = 3; | 4) 16 : 8 = 2; 5) 18 : 9 = 2
|
Пояснение
23 : 3
Вспомним, какое самое большое число до 23 делится на 3 без остатка. Это 21.
Найдем частное: 21 : 3 = 7.
Найдём остаток: 23 - 21 = 2.
2 < 3, значит, частное подобрано правильно.
23 : 4
Вспомним, какое самое большое число до 23 делится на 4 без остатка. Это 20.
Найдем частное: 20 : 4 = 5.
Найдём остаток: 23 - 20 = 3.
3 < 4, значит, частное подобрано правильно.
23 : 6
Вспомним, какое самое большое число до 23 делится на 6 без остатка. Это 18.
Найдем частное: 18 : 6 = 3.
Найдём остаток: 23 - 18 = 5.
5 < 6, значит, частное подобрано правильно.
23 : 8
Вспомним, какое самое большое число до 23 делится на 8 без остатка. Это 16.
Найдем частное: 16 : 8 = 2.
Найдём остаток: 23 - 16 = 7.
7 < 8, значит, частное подобрано правильно.
23 : 9
Вспомним, какое самое большое число до 23 делится на 9 без остатка. Это 18.
Найдем частное: 18 : 9 = 2.
Найдём остаток: 23 - 18 = 5.
5 < 9, значит, частное подобрано правильно.
Стр. 28 учебника 2023-2024:
Вариант ответа #1:
Решение


Пояснение
Чтобы проверить деление, можно использовать любой из следующих способов:
Мы в решении использовали первый способ.
Вариант ответа #2:
Решение
| 99 : 33 = 3 Проверка 3 • 33 = 99 | 84 : 7 = 12 Проверка 12 • 7 = 84 |
| 56 : 2 = 28 Проверка 28 • 2 = 56 | 72 : 3 = 24 Проверка 24 • 3 = 72 |
Пояснение
При делении двузначного числа на двузначное нахожу результат подбором.
99 : 33
33 • 2 = 66 - не подходит,
33 • 3 = 99, значит,
99 : 33 = 3
Проверка
33 • 3 = (30 + 3) • 3 = 90 + 9 = 99
84 : 7 = (70 + 14) : 7 = 10 + 2 = 12
Проверка
12 • 7 = (10 + 2) • 7 = 70 + 14 = 74
56 : 2 = (40 + 16) : 2 = 20 + 8 = 28
Проверка
28 • 2 = (20 + 8) • 2 = 40 + 16 = 56
72 : 3 = (60 + 12) : 3 = 20 + 4 = 24
Проверка
24 • 3 = (20 + 4) • 3 = 60 + 12 = 72
Выберите год учебника
Стр. 28 учебника 2011-2022:
4. 1) Длина одной шестой части отрезка АВ равна 15 мм. Начерти этот отрезок.
2) Длина отрезка CD 28 мм. Сколько миллиметров в одной седьмой части этого отрезка?
Стр. 28 учебника 2023-2024:
4. В среду в библиотеке побывало 34 человека, в четверг - на 25 человек меньше, а в пятницу - в 3 раза больше, чем в четверг. Объясни, что означают выражения, и вычисли их значения:
34 - 25, (34 - 25) • 3.
Стр. 28 учебника 2011-2022:
Вспомни, сколько миллиметров в одном сантиметре, что такое отрезок.
Доля – это каждая из равных частей целого. Чтобы узнать целое, нужно знать значение его доли.
Стр. 28 учебника 2023-2024:
Если есть схематический рисунок, таблица или чертёж, краткую запись задачи составлять не нужно.
Стр. 28 учебника 2011-2022:
Решение
1) 15 • 6 = 90 (мм) = 9 (см)

2) 28 : 7 = 4 (мм)
Пояснение
1) 
2) Чтобы получить одну седьмую часть отрезка CD, нужно целое число(28) разделить на 7 равных частей и взять одну такую часть.
28 : 7 = 4 (мм)
Стр. 28 учебника 2023-2024:
Решение
1) 34 - 25 = 9 (ч.) - бывало в библиотеке в четверг.
2) (34 - 25) • 3 = 27 (ч.) - побывало в библиотеке в пятницу.
Ответ: 9 человек - в четверг. 27 человек - в пятницу.
Пояснение

Выберите год учебника
Стр. 28 учебника 2011-2022:
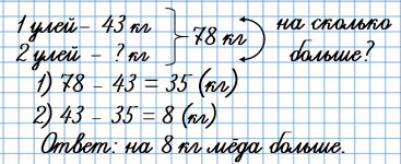
5. С двух ульев за год получили 78 кг мёда. С одного из них получили 43 кг. На сколько килограммов мёда получили больше с одного улья, чем с другого?
Стр. 28 учебника 2023-2024:
5. Сначала выпиши парами выражения с равными значениями. Найди способ себя проверь.
| 4 • 7 | 9 • 3 | 5 • 7 + 5 | 7 • 3 + 7 |
| 8 • 5 | 8 • 9 | 8 • 9 - 8 | 5 • 9 - 5 |
| 3 • 9 | 7 • 4 | 3 • 10 - 3 | 8 • 7 +8 |
| 9 • 8 | 5 • 8 | 7 • 5 - 7 | 3 • 8 +3 |
Стр. 28 учебника 2011-2022:
Если есть схематический рисунок, таблица или чертёж, краткую запись задачи составлять не нужно.
Стр. 28 учебника 2023-2024:
Повтори случаи табличного умножения, порядок действий при решении числовых выражений.
Повтори переместительный закон умножения.
Стр. 28 учебника 2011-2022:
Решение
1) 78 - 43 = 35 (кг) - мёда получили со второго улья.
2) 43 - 35 = 8 (кг)
Ответ: на 8 кг мёда больше получили с одного улья, чем с другого.
Пояснение

или

Стр. 28 учебника 2023-2024:
Вариант ответа #1:
Решение


Вариант ответа #2:
Решение
| 4 • 7 7 • 4 Проверка 4 • 7 = 28 7 • 4 = 28 28 = 28 | 5 • 7 + 5 5 • 9 - 5 Проверка 5 • 7 + 5 = 40 5 • 9 - 5 = 40 40 = 40 |
| 8 • 5 5 • 8 Проверка 8 • 5 = 40 5 • 8 = 40 40 = 40 | 8 • 9 - 8 8 • 7 + 8 Проверка 8 • 9 - 8 = 64 8 • 7 + 8 = 64 64 = 64 |
| 3 • 9 9 • 3 Проверка 3 • 9 = 27 9 • 3 = 27 27 = 27 | 3 • 10 - 3 3 • 8 + 3 Проверка 3 • 10 - 3 = 27 3 • 8 + 3 = 27 27 = 27 |
| 9 • 8 8 • 9 Проверка 9 • 8 = 72 8 • 9 = 72 72 = 72 | 7 • 5 - 7 7 • 3 + 7 Проверка 7 • 5 - 7 = 28 7 • 3 + 7 = 28 28 = 28 |
Пояснение
1) От перестановки множителей произведение не изменяется.
| 4 • 7 = 7 • 4 28 = 28 | 8 • 5 = 5 • 8 40 = 40 | 3 • 9 = 9 • 3 27 = 27 | 9 • 8 = 8 • 9 72 = 72 |
2)
| 5 • 7 + 5 = 5 • 9 - 5 35 + 5 = 45 - 5 40 = 40 |
| 3 • 10 - 3 = 3 • 8 + 3 30 - 3 = 24 + 3 27 = 27 |
| 8 • 9 - 8 = 8 • 7 + 8 72 - 8 = 56 + 8 64 = 64 |
| 7 • 5 - 7 = 7 • 3 + 7 35 - 7 = 21 + 7 28 = 28 |
Выберите год учебника
Стр. 28 учебника 2011-2022:
6.
| 90 - (15 + 9) : 8 | 72 : 9 + 2 • 7 |
| 18 + 9 • (13 - 7) | 9 • 6 - 30 : 3 |
| 64 - (28 + 4) : 4 | 28 : 7 + 5 • 6 |
• 8 = 56 | |
6 • = 54 | |
• 9 = 63 | |
Стр. 28 учебника 2023-2024:
6. Альбом для рисования и карандаш стоят 15 р. На все свои деньги Оля может купить 1 альбом или 4 карандаша. Сколько денег у Оли? Сделай вывод из условия, которое выделено, и закончи решение.
Стр. 28 учебника 2011-2022:
Вариант ответа #1:


Вариант ответа #2:
Решение
| 90 - (15 + 9) : 8 = 87 | 72 : 9 + 2 • 7 = 22 |
| 18 + 9 • (13 - 7) = 72 | 9 • 6 - 30 : 3 = 44 |
| 64 - (28 + 4) : 4 = 56 | 28 : 7 + 5 • 6 = 34 |
| 7 • 8 = 56 | |
| 6 • 9 = 54 | |
| 7 • 9 = 63 | |
Пояснение
| 90 - (15 + 9) : 8 = 90 - 24 : 8 = 90 - 3 = 87 | 72 : 9 + 2 • 7 = 8 + 14 = 22
|
| 18 + 9 • (13 - 7) = 18 + 9 • 6 = 18 + 54 = 72 | 9 • 6 - 30 : 3 = 54 - 10 = 44
|
| 64 - (28 + 4) : 4 = 64 - 32 : 4 = 64 - 8 = 56 | 28 : 7 + 5 • 6 = 4 + 30 = 34
|
| 7 • 8 = 56 56 = 56 | 6 • 9 = 54 54 = 54 | 7 • 9 = 63 63 = 63 |
Стр. 28 учебника 2023-2024:
Решение
1 альбом + 1 карандаш = 15 рублей.
Цена 1 альбома = стоимость 4-х карандашей.
Пусть 1 карандаш стоит 1 рубль, тогда:
1) 15 − 1 = 14 (р.) − цена 1 альбома.
2) 1 • 4 = 4 (р.) − стоят 4 карандаша.
14 > 4 − не подходит.
Пусть 1 карандаш стоит 2 рубля, тогда:
1) 15 − 2 = 13 (р.) − цена 1 альбома.
2) 2 • 4 = 8 (р.) − стоят 4 карандаша.
13 > 8 − не подходит.
Пусть 1 карандаш стоит 3 рубля, тогда:
1) 15 − 3 = 12 (р.) − цена 1 альбома.
2) 3 • 4 = 12 (рублей) − стоят 4 карандаша.
12 = 12 − подходит.
Ответ: у Оли 12 рублей.
Пояснение

Выберите год учебника
Стр. 28 учебника 2011-2022:
7. Как из каждого числа первой строки получено записанное под ним число во второй строке?
Продолжи второй ряд чисел.

Стр. 28 учебника 2023-2024:
На одно окно требуется 3 одинаковых стекла. Сколько окон можно застеклить, если есть 10 таких стёкол? 20 стёкол?
Стр. 28 учебника 2011-2022:
Числа из второй строки получены таким образом: число из первой строки умножается на 3, после к произведению прибавляется 1.
Повтори случаи табличного умножения.
Стр. 28 учебника 2023-2024:
Если есть схематический рисунок, таблица или чертёж, краткую запись задачи составлять не нужно.
Повтори, как выполняется деление с остатком.
Стр. 28 учебника 2011-2022:
Решение

Пояснение
Число из первой строки умножаем на 3 и к полученному произведению прибавляем 1.
1) 8 • 3 + 1 = 24 + 1 = 25
2) 9 • 3 + 1 = 27 + 1 = 28
3) 10 • 3 + 1 = 30 + 1 = 31
Стр. 28 учебника 2023-2024:
Решение
1) 10 : 3 = 3 (ок.) и (ост. 1 ст.)
2) 20 : 3 = 6 (ок.) и (ост. 2 ст.)
Ответ 3 окна, 6 окон.
Пояснение
1) 
2) 
Выберите год учебника
Стр. 28 учебника 2011-2022:
Какое самое большое число до 47 делится без остатка на 5? на 6? на 8? на 9?
Стр. 28 учебника 2023-2024:
Вычисли. Найди лишнее выражение:

Стр. 28 учебника 2011-2022:
Вспомни как выполняется деление с остатком.
Стр. 28 учебника 2023-2024:
Повтори способы письменного сложения в столбик.
Стр. 28 учебника 2011-2022:
Решение
| 1) 45 : 5 = 9; 2) 42 : 6 = 7; | 3) 40 : 8 = 5; 4) 45 : 9 = 5. |
Пояснение
1) 47 : 5
Вспомним, какое самое большое число до 47 делится на 5 без остатка. Это 45.
Найдем частное: 45 : 5 = 9.
Найдём остаток: 47 - 45 = 2.
2 < 5, значит, частное подобрано правильно.
2) 47 : 6
Вспомним, какое самое большое число до 47 делится на 6 без остатка. Это 42.
Найдем частное: 42 : 6 = 7.
Найдём остаток: 47 - 42 = 5.
5 < 6, значит, частное подобрано правильно.
3) 47 : 8
Вспомним, какое самое большое число до 47 делится на 8 без остатка. Это 40.
Найдем частное: 40 : 8 = 5.
Найдём остаток: 47 - 40 = 7.
7 < 8, значит, частное подобрано правильно.
4) 47 : 9
Вспомним, какое самое большое число до 47 делится на 9 без остатка. Это 45.
Найдем частное: 45 : 9 = 5.
Найдём остаток: 47 - 45 = 2.
2 < 9, значит, частное подобрано правильно.
Стр. 28 учебника 2023-2024:
Решение
| 27 + 30 = 57 20 + 37 = 57 50 + 7 = 57 | 34 + 23 = 57 45 + 12 = 57 40 + 16 = 56 |
Ответ: 40 + 16 - лишнее выражение.
Пояснение
![]() | ![]() | ![]() | ![]() | ![]() | ![]() |
Во всех выражения, кроме последнего, результат сложения - 57, значит, 40 + 16 - лишнее выражение.
Ребусы:

Вспомни как выполняется деление с остатком.
Повтори способы письменного сложения в столбик.
Внимательно рассмотри запись деления и сложения, и подставь такие числа, чтобы ответы были верными.
Вернуться к содержанию учебника