Номер 3. Обыкновенные дроби. Решаем устно § 29 - ГДЗ Математика 5 класс. Мерзляк, Полонский. Учебник. Страница 197

Вернуться к содержанию учебника

Обыкновенные дроби. Решаем устно § 29. Страница 197

8 1 2 3 4 5 1

Вопрос

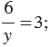
Решите уравнение:

1)    2)    3)      4)

Подсказка

Вспомните:

  1. Что такое дробь.
  2. Связь дробей и  деления.
  3. Умножение и деление натуральных чисел.
  4. Что называется уравнением.
  5. Что называется корнем уравнения.
  6. Правила нахождения неизвестного делимого, делителя и множителя.

Ответ

8 1 2 3 4 5 1


Вернуться к содержанию учебника