Номер 37 - ГДЗ Алгебра 7 класс. Мерзляк, Полонский. Учебник. Страница 15

Вернуться к содержанию учебника

Страница 15

34 35 36 37 38 39 40

Вопрос

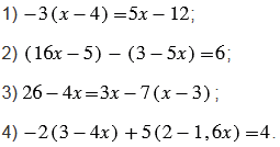
Решите уравнение:

Подсказка

Вспомните:

  1. Что значит решить уравнение.
  2. Правила раскрытия скобок, подобные слагаемые.
  3. Распределительное свойство умножения.
  4. Свойства уравнений.
  5. Линейные уравнения.
  6. Деление и дроби.
  7. Правила сложения рациональных чисел.
  8. Правила вычитания рациональных чисел.
  9. Противоположные числа.
  10. Правила деления рациональных чисел.
  11. Правила умножения рациональных чисел.
  12. Модуль числа.
  13. Сокращение дробей.
  14. Умножение десятичных дробей.

Ответ


Вернуться к содержанию учебника