Номер 58 - ГДЗ Алгебра 7 класс. Мерзляк, Полонский. Учебник. Страница 17

Вернуться к содержанию учебника

Страница 17

55 56 57 58 59 60 61

Вопрос

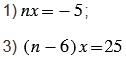
Найдите все целые значения , при которых корень уравнения:

является натуральным числом.

Подсказка

Вспомните:

  1. Что такое корень уравнения.
  2. Какие числа называют целыми.
  3. Какие числа называют натуральными.
  4. Деление и дроби.
  5. Делители числа.
  6. Правила деления рациональных чисел.
  7. Модуль числа.
  8. Как найти неизвестное уменьшаемое.
  9. Линейные уравнения.

Ответ


Вернуться к содержанию учебника