Номер 632 - ГДЗ Алгебра 7 класс. Мерзляк, Полонский. Учебник. Страница 112

Вернуться к содержанию учебника

Страница 112

629 630 631 632 633 634 635

Вопрос

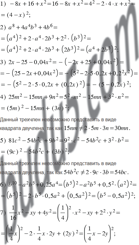
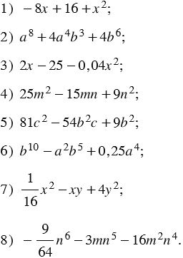
Представьте, если это можно, в виде квадрата двучлена или в виде выражения, противоположного квадрату двучлена, трёхчлен:

Подсказка

Ответ


Вернуться к содержанию учебника