Вернуться к содержанию учебника
Упражнения § 3. Страница 21
1 2 68 69 70 71 72 73 74 75 76
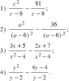
Упростите выражение:
Вспомните: