Номер 307 - ГДЗ Алгебра 8 класс. Мерзляк, Полонский. Учебник. Страница 74

Вернуться к содержанию учебника

Упражнения § 9. Страница 74

304 305 306 307 308 309 310

Вопрос

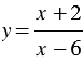
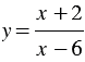
Функция задана формулой . Какова область определения данной функции? Заполните таблицу, вычислив соответствующие значения функции.

-3 -2 -1 0 1 2 3
             

Подсказка

Ответ


Пояснения:

Функцией называют правило, с помощью которого по каждому значению независимой переменной можно найти единственное значение зависимой переменной.  Как правило, независимую переменную обозначают буквой , зависимую - буквой . Независимую переменную еще называют аргументом функции.

Все значения, которые принимает независимая переменная (аргумент), образуют область определения функции. Значит, область определения функции составляют все числа, кроме = 6, так как при = 6  знаменатель рассматриваемой функции обращается в ноль, а на ноль делить нельзя.

Чтобы найти значение функции при заданном значении аргумента , нужно в формулу, которая задает рассматриваемую функцию, в данном случае это формула , вместо подставить числовое значение данное в условии и выполнить вычисления. При выполнении вычислений учитываем то, что, если числитель больше знаменателя, то дробь можно заменить делением (числитель делим на знаменатель). Если же дробь неправильная (числитель больше знаменателя) и числитель не делится нацело на знаменатель, то рассматриваемую неправильную дробь нужно преобразовать в смешанное число. Чтобы неправильную дробь, числитель которой нацело не делится на знаменатель, преобразовать в смешанное число, надо числитель разделить на знаменатель; полученное неполное частное записать как целую часть смешанного числа, а остаток - как числитель его дробной части. Если полученная дробь сократимая, то ее нужно сократить (сокращение дроби - это деление числителя и знаменателя данной дроби на их общий делитель, отличный от 1).

Также при вычислениях помним следующие правила:

1) чтобы сложить два числа с разными знаками, надо: найти модули слагаемых; из большего модуля вычесть меньший модуль; перед полученным числом поставить знак слагаемого с большим модулем;

2) чтобы сложить два отрицательных числа, надо: найти модули слагаемых; сложить модули слагаемых; перед полученным числом поставить знак "";

3) сумма двух противоположных чисел равна нулю, можно записать так: ;

4) чтобы из данного числа вычесть другое, надо к уменьшаемому прибавить число, противоположное вычитаемому: ;

5) чтобы найти частное двух отрицательных чисел, надо разделить модуль делимого на модуль делителя;

6) чтобы найти частное двух чисел с разными знаками, надо разделить модуль делимого на модуль делителя и поставить перед полученным числом знак "".


Вернуться к содержанию учебника