Номер 405 - ГДЗ Алгебра 8 класс. Мерзляк, Полонский. Учебник. Страница 102

Вернуться к содержанию учебника

Упражнения § 12. Страница 102

402 403 404 405 406 407 408

Вопрос

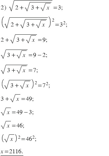
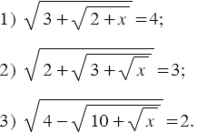
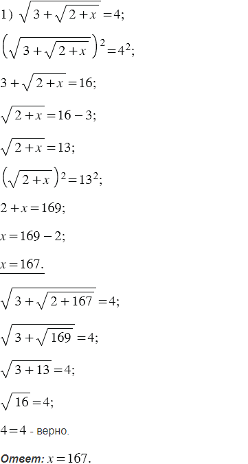
Решите уравнение:

Подсказка

Ответ


Вернуться к содержанию учебника