Номер 614 - ГДЗ Алгебра 8 класс. Мерзляк, Полонский. Учебник. Страница 150

Вернуться к содержанию учебника

Упражнения §18. Страница 150

611 612 613 614 615 1 2

Вопрос

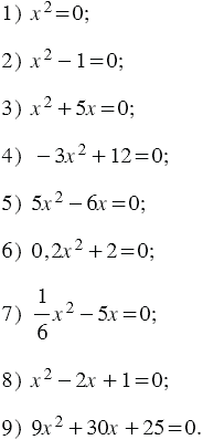
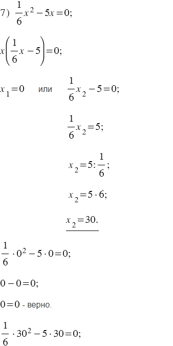
Решение уравнение:

Подсказка

Ответ


Вернуться к содержанию учебника