Номер 633 - ГДЗ Алгебра 8 класс. Мерзляк, Полонский. Учебник. Страница 161

Вернуться к содержанию учебника

Упражнения §19. Страница 161

630 631 632 633 634 635 636

Вопрос

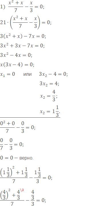
Решите уравнение:

Подсказка

Ответ


Вернуться к содержанию учебника