Номер 655 - ГДЗ Алгебра 8 класс. Мерзляк, Полонский. Учебник. Страница 164

Вернуться к содержанию учебника

Упражнения §19. Страница 164

652 653 654 655 1 2 3

Вопрос

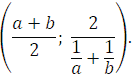
Печатный автомат получает на входе карточку с числами и выдает на выходе карточку с числами Можно ли с помощью этого автомата из карточек с числами (0,25; 1000) получить карточку с числами (1,25; 250)?

Подсказка

Ответ


Вернуться к содержанию учебника