Номер 788 - ГДЗ Алгебра 8 класс. Мерзляк, Полонский. Учебник. Страница 192

Вернуться к содержанию учебника

Упражнения §23. Страница 192

785 786 787 788 789 790 791

Вопрос

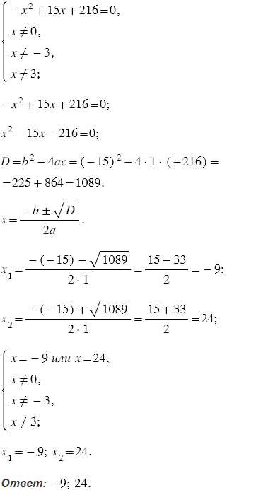
Решите уравнение:

Подсказка

Ответ


Вернуться к содержанию учебника