Номер 893 - ГДЗ Алгебра 8 класс. Мерзляк, Полонский. Учебник. Страница 222

Вернуться к содержанию учебника

Упражнения для повторения курса алгебры 8 класса. Страница 222

890 891 892 893 894 895 896

Вопрос

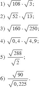
Найдите значение выражения:

Подсказка

Ответ


Вернуться к содержанию учебника