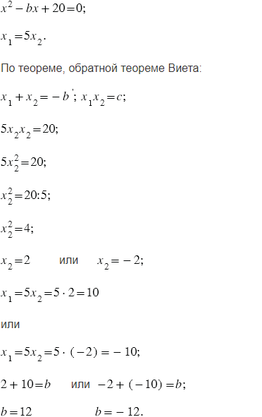
Номер 928 - ГДЗ Алгебра 8 класс. Мерзляк, Полонский. Учебник. Страница 226

Вернуться к содержанию учебника

Упражнения для повторения курса алгебры 8 класса. Страница 226

925 926 927 928 929 930 931

Вопрос

Корни и уравнения удовлетворяют условию Найдите значение и корни уравнения.

Подсказка

Вспомните:

  1. Что такое уравнение.
  2. Решение уравнений.
  3. Что называют корнем уравнения.
  4. Какое уравнение называют квадратным.
  5. Теорему, обратную теореме Виета.
  6. Сложение и умножение рациональных чисел.

Ответ


Вернуться к содержанию учебника