Вернуться к содержанию учебника
1. Объясни вычисления.
|
|
|
|
|
|
Так же, как выполняли сложение и вычитание двузначных чисел, выполняем сложение и вычитание трёхзначных.
Пишу (единицы под единицами, десятки под десятками): 34 + 27.
Складываю единицы: 4 + 7 = 11.
11 ед. - это 1 дес. 1 ед.; 1 ед. пишу под единицами, 1 дес. прибавлю к десяткам.
Складываю десятки: 3 + 2 = 5, да ещё 1.
5 + 1 = 6.
6 дес. пишу под десятками.
Читаю ответ: 61.
Пишу (единицы под единицами, десятки под десятками, сотни под сотнями): 534 + 27.
Складываю единицы: 4 + 7 = 11.
11 ед. - это 1 дес. 1 ед.; 1 ед. пишу под единицами, 1 дес. прибавлю к десяткам.
Складываю десятки: 3 + 2 = 5, да ещё 1.
5 + 1 = 6.
6 дес. пишу под десятками.
Складываю сотни: 5 + 0 = 5. Пишу под сотнями 5.
Читаю ответ: 561.
Пишу (единицы под единицами, десятки под десятками, сотни под сотнями): 534 + 427
Складываю единицы: 4 + 7 = 11.
11 ед. - это 1 дес. 1 ед.; 1 ед. пишу под единицами, 1 дес. прибавлю к десяткам.
Складываю десятки: 3 + 2 = 5, да ещё 1.
5 + 1 = 6.
6 дес. пишу под десятками.
Складываю сотни: 5 + 4 = 9. Пишу под сотнями 9.
Читаю ответ: 961.
Пишу (единицы под единицами, десятки под десятками): 83 - 67.
Вычитаю единицы: из 3 ед. нельзя вычесть 7 ед. Беру 1 дес. из 8 дес. (Чтобы не забыть об этом, ставлю точку над цифрой 8).
1 дес. и 3 ед. - это 13 ед. Из 13 вычесть 7, получится 6. Пишу под десятками 6.
Вычитаю десятки. Было 8 дес., но 1 дес. взяли при вычитании единиц, осталось 7 дес.
7 - 6 = 1
Пишу 1 дес. под десятками.
Читаю ответ: 16.
Пишу (единицы под единицами, десятки под десятками, сотни под сотнями): 483 - 67.
Вычитаю единицы: из 3 ед. нельзя вычесть 7 ед. Беру 1 дес. из 8 дес. (Чтобы не забыть об этом, ставлю точку над цифрой 8).
1 дес. и 3 ед. - это 13 ед. Из 13 вычесть 7, получится 6. Пишу под десятками 6.
Вычитаю десятки. Было 8 дес., но 1 дес. взяли при вычитании единиц, осталось 7 дес.
7 - 6 = 1
Пишу 1 дес. под десятками.
Вычитаю сотни: 4 - 0 = 4. Пишу под сотнями 4.
Читаю ответ: 416.
Пишу (единицы под единицами, десятки под десятками, сотни под сотнями): 483 - 167.
Вычитаю единицы: из 3 ед. нельзя вычесть 7 ед. Беру 1 дес. из 8 дес. (Чтобы не забыть об этом, ставлю точку над цифрой 8).
1 дес. и 3 ед. - это 13 ед. Из 13 вычесть 7, получится 6. Пишу под десятками 6.
Вычитаю десятки. Было 8 дес., но 1 дес. взяли при вычитании единиц, осталось 7 дес.
7 - 6 = 1
Пишу 1 дес. под десятками.
Вычитаю сотни: 4 - 1 = 3. Пишу под сотнями 3.
Читаю ответ: 316.
2. Вычисли, используя запись столбиком, и сделай проверку.
| 208 + 629 | 356 - 238 | 846 - 37 |
Решение

Пояснение
Действия выполняются поразрядно, начиная с единиц.
Чтобы проверить сложение, можно использовать любой из следующих способов:
Чтобы проверить вычитание, можно использовать любой из следующих способов:
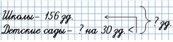
3. В городе 156 школ, а детских садов на 30 меньше. Сколько всего ... ?
Повтори, как складываются трёхзначные числа и оформляются краткие записи задач.
4. Зимой в городе было 36 открытых катков, а катков с искусственным льдом в 9 раз меньше. На сколько больше ... ?
5.
| 44 : 2 • 4 | 13 • 7 - 8 • 5 |
| 88 : 44 • 36 | 18 • 4 + 6 • 4 |
| 200 - (36 + 14) | |
| 700 - (83 + 17) | |
Решение
| 44 : 2 • 4 = 88 | 13 • 7 - 8 • 5 = 51 |
| 88 : 44 • 36 = 72 | 18 • 4 + 6 • 4 = 96 |
| 200 - (36 + 14) = 150 | |
| 700 - (83 + 17) = 600 | |
Пояснение
| 1 столбик |
| 44 : 2 • 4 = 22 • 4 = 88 1) 44 : 2 = (40 + 4) : 2 = 40 : 2 + 4 : 2 = 20 + 2 = 22 2) 22 • 4 = (20 + 2) • 4 = 20 • 4 + 2 • 4 = 80 + 8 = 88 |
| 88 : 44 • 36 = 2 • 36 = 72 1) 88 : 44 вычисляем путём подбора частного. 44 • 2 = 88, 88 = 88, значит 2 - искомое частное. 2) 2 • 36 = 2 • (30 + 6) = 2 • 30 + 2 • 6 = 60 + 12 = 72 |
| 2 столбик |
| 13 • 7 - 8 • 5 = 91 - 40 = 51 1) 13 • 7 = (10 + 3) • 7 = 10 • 7 + 3 • 7 = 70 + 21 = 91 2) 8 • 5 = 40 3) 91 - 40 = 51 |
| 18 • 4 + 6 • 4 = 72 + 24 = 96 1) 18 • 4 = (10 + 8) • 4 = 10 • 4 + 8 • 4 = 40 + 32 = 72 2) 6 • 4 = 24 3) 72 + 24 = 96 |
| 3 столбик |
| 200 - (36 + 14) = 200 - 50 = 150 1) 36 + 14 = 50 2) 200 - 50 = 150 |
| 700 - (83 + 17) = 700 - 100 = 600 1) 83 + 17 = 100 2) 700 - 100 = 600 |
6. 1) Площадь одной двенадцатой части квадрата 3 см2. Найди площадь всего квадрата.
2) Начерти квадрат, площадь которого равна площади прямоугольника со сторонами 2 см и 8 см. Найди периметр этого квадрата.
Повтори, что такое доли, а также как найти площадь прямоугольника и квадрата.
Решение
Задание 1
3 • 12 = 36 (см2)
Ответ: площадь квадрата = 36 см2.
Задание 2
1) 2 • 8 = 16 (см2) - площадь прямоугольника и квадрата.

2) 4 • 4 = 16 (см) - периметр квадрата.
Пояснение
1. Одна двенадцатая часть обозначает, что целое число разделили на 12 частей и взяли одну такую часть. Значит, чтобы найти целое число, нужно эту часть умножить на 12. Так мы найдём площадь квадрата.
2. Площадь прямоугольника мы найдём, умножив длину на ширину.
2 • 8 = 16 (см2)
По условию, площадь квадрата равна площади прямоугольника, значит площадь квадрата тоже равна 16 см2.
Площадь квадрата можно определить, умножив сторону саму на себя. Подберём число, при умножении которого само на себя, получится 16. Это число 4. Начертим квадрат со стороной 4 см.
Периметр - это сумма длин всех сторон. Поскольку у квадрата все стороны одинаковые, то мы можем длину стороны умножить на 4.
4 • 4 = 16 (см)
7.
| 1 дм - 1 см | 1 дм2 - 1 см2 |
Выберите год учебника
Стр. 70 учебника 2011-2022:
8. Юре 10 лет. Мама старше Юры на 26 лет, папа старше мамы на 7 лет. На сколько лет папа старше Юры? Реши задачу одним действием.
Стр. 70 учебника 2023-2024:
8. Юре 10 лет. Мама старше Юры на 26 лет, папа старше мамы на 7 лет. Можно ли решить задачу одним действием? Если да, покажи как. Какое данное в условии задачи при этом станет лишним?
Стр. 70 учебника 2011-2022:
Решение
26 + 7 = 33 (г.)
Ответ: папа старше Юры на 33 года.
Пояснение

По условию задачи возраст мамы больше возраста Юры на 26 лет, а возраст папы больше возраста мамы на 7 лет. Для того, чтобы ответить на вопрос задачи, нужно сложить разницу в возрасте между Юрой и мамой и мамой и папой. Возраст Юры в данном случае не важен, потому что нам нужно узнать на сколько больше возраст папы, а не сам возраст.
Стр. 70 учебника 2023-2024:
Решение
На сколько лет папа старше Юры?
26 + 7 = 33 (г.)
Ответ: папа старше Юры на 33 года.
По условию задачи возраст мамы больше возраста Юры на 26 лет, а возраст папы больше возраста мамы на 7 лет. Для того, чтобы ответить на вопрос задачи, нужно сложить разницу в возрасте между Юрой и мамой и мамой и папой. Возраст Юры в данном случае не важен, потому что нам нужно узнать на сколько больше возраст папы, а не сам возраст.
Пояснение

9. Какое число пропущено? 1, 3, 9,
, 81.
Повтори, как выполняется внетабличное умножение.
Решение
1, 3, 9, 27, 81.
Пояснение
Число 3 в 3 раза больше числа 1, число 9 в 3 раза больше числа 3, значит следующее число должно быть в 3 раза больше числа 9 и в 3 раза меньше числа 81.
9 • 3 = 27
81 : 3 = (60 + 21) : 3 = 60 : 3 + 21 : 3 =
= 20 + 7 = 27
Значит, пропущенное число - 27.
1 → 3 → 9 → 27 → 81.
Вычисли.
| 328 + 246 | 574 - 139 |
Ребусы:

Вернуться к содержанию учебника