Страница 71 - ГДЗ Математика 3 класс. Моро, Бантова. Учебник часть 2

Старая и новая редакции

Вернуться к содержанию учебника

68 69 70 71 72 73 74

Вопрос

1. Объясни, как выполнено сложение.

Подсказка

Повтори состав трёхзначных чисел, а также как складывать и вычитать в столбик.

Ответ

1) Пишу (единицы под единицами, десятки под десятками, сотни под сотнями): 437 + 95.

Складываю единицы: 7 + 5 = 12.

12 ед. - это 1 дес. 2 ед.; 2 ед. пишу под единицами, а 1 де)с. прибавлю к десяткам.

Складываю десятки: 3 + 9 = 12, да ещё 1.

12 + 1 = 13

13 дес. - это 1 сот. 3 дес.; 3 дес. пишу под десятками, а 1 сот. прибавлю к сотням.

Складываю сотни: 4, да ещё 1.

4 + 1 = 5.

Пишу под сотнями 5.

Читаю ответ: 532.

2) Пишу (единицы под единицами, десятки под десятками, сотни под сотнями): 326 + 279.

Складываю единицы: 6 + 9 = 15.

15 ед. - это 1 дес. 5 ед.; 5 ед. пишу под единицами, а 1 дес. прибавлю к десяткам.

Складываю десятки: 2 + 7 = 9, да ещё 1.

9 + 1 = 10. 10 дес. - это 1 сот. 0 дес; 0 дес. пишу под десятками, а 1 сот. прибавлю к сотням.

Складываю сотни: 3 + 2 = 5, да ещё 1.

5 + 1 = 6.

Пишу под сотнями 6.

Читаю ответ: 605.

3) Пишу (единицы под единицами, десятки под десятками): 89 + 78.

Складываю единицы: 9 + 8 = 17.

17 ед. - это 1 дес. 7 ед.; 7 ед. пишу под единицами, а 1 дес. прибавлю к десяткам.

Складываю десятки: 8 + 7 = 15, да ещё 1.

15 + 1 = 16.

16 дес. - это 1 сот. и 6 дес.; 6 дес. пишу под десятками, а 1 сот. прибавлю к сотням.

Складываю сотни: 0, да ещё 1.

0 + 1 = 1.

Пишу 1 сот. под сотнями.

Читаю ответ: 167.

Вопрос

2. Реши с объяснением.

456 + 252 690 + 188 23 + 338

Подсказка

Повтори, как складываются трёхзначные числа.

Ответ

Решение


Пояснение

1) Пишу (единицы под единицами, десятки под десятками, сотни под сотнями): 456 + 252.

Складываю единицы: 6 + 2 = 8.

Пишу под единицами 8.

Складываю десятки: 5 + 5 = 10

10 дес. - это 1 сот. и 0 дес.; 0 дес. пишу под десятками, а 1 сот. прибавлю к сотням.

Складываю сотни: 4 + 2 = 6, да ещё 1.

6 + 1 = 7.

Пишу под сотнями 7.

Читаю ответ: 708.

2) Пишу (единицы под единицами, десятки под десятками, сотни под сотнями): 690 + 188.

Складываю единицы: 0 + 8 = 8.

Пишу под единицами 8.

Складываю десятки: 9 + 8 = 17

17 дес. - это 1 сот. и 7 дес.; 7 дес. пишу под десятками, в 1 сот. прибавлю к сотням.

Складываю сотни: 6 + 1 = 7, да ещё 1.

7 + 1 = 8

Пишу под сотнями 8.

Читаю ответ: 878.

3) Пишу (единицы под единицами, десятки под десятками, сотни под сотнями): 23 + 338.

Складываю единицы: 3 + 8 = 11

11 ед. - это 1 дес. и 1 ед.; 1 ед. пишу под единицами, а 1 дес. прибавлю к десяткам.

Складываю десятки: 2 + 3 = 5, да ещё 1.

5 + 1 = 6

Пишу под десятками 6.

Складываю сотни: 0 + 3 = 3

Пишу под сотнями 3.

Читаю ответ: 361.

Вопрос

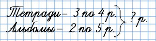
3. Коля купил 3 тетради по р. и 2 альбома по р. Сколько денег он заплатил? Дополни условие и реши задачу.

Подсказка

Ты можешь вставить другие числа.

Ответ

Вариант ответа #1:


Пояснение

Коля купил 3 тетради по 10 р. и 2 альбома по 20 р. Сколько денег он заплатил?

Вариант ответа #2:

Решение

Коля купил 3 тетради по 4 р. и 2 альбома по 5 р. Сколько денег он заплатил?

1) 4 • 3 = 12 (р.) - заплатил за тетради.

2) 5 • 2 = 10 (р.) - заплатил за альбомы.

3) 12 + 10 = 22 (р.)

Ответ: 22 рубля заплатил.


Пояснение

Вопрос

Выберите год учебника

Стр. 71 учебника 2011-2022:

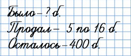
4. В театральной кассе было 480 билетов. Кассир продал билеты на 5 спектаклей, по 16 билетов на каждый. Сколько ещё билетов осталось в кассе?

Составь задачу, обратную данной, и реши её.


Стр. 71 учебника 2023-2024:

4. В театральной кассе было 480 билетов. Кассир продал билеты на 5 спектаклей, по 16 билетов на каждый. Сколько ещё билетов осталось в кассе?

Сколько можно составить задач, обратных данной?

Подсказка

Повтори, что такое обратные задачи и внетабличное умножение.

Ответ

Стр. 71 учебника 2011-2022:

Решение

1) 16 • 5 = 80 (б.) - продал кассир.

2) 480 - 80 = 400 (б.)

Ответ: 400 билетов осталось.

Обратная задача:

После того, как кассир продал билеты на 5 спектаклей, по 16 билетов на каждый, в кассе осталось 400 билетов. Сколько было билетов в кассе до продажи?

1) 16 • 5 = 80 (б.) - продал кассир.

2) 400 + 80 = 480 (б.)

Ответ: 480 билетов было в кассе.


Пояснение

Обратная задача:


Стр. 71 учебника 2023-2024:

Решение

1) 16 • 5 = 80 (б.) - продал кассир.

2) 480 - 80 = 400 (б.)

Ответ: 400 билетов осталось.

Обратная задача 1:

После того, как кассир продал билеты на 5 спектаклей, по 16 билетов на каждый, в кассе осталось 400 билетов. Сколько было билетов в кассе до продажи?

1) 16 • 5 = 80 (б.) - продал кассир.

2) 400 + 80 = 480 (б.)

Ответ: 480 билетов было в кассе.


Обратная задача 2:

В театральной кассе было 480 билетов.После того, как кассир продал билеты на 5 спектаклей, в кассе осталось 400 билетов. Сколько продали билетов на каждый спектакль?

1) 480 - 400 = 80 (б.) - продали.

2) 80 : 5 = 16 (б.)

Ответ: продали по 16 билетов на каждый спектакль.


Пояснение

Обратная задача 1:


Обратная задача 2:

Вопрос

5.

54 : 9 • 13 48 : 2 - 18 : 9
72 : 8 • 11 64 : 8 + 84 : 4
8 • 8  : 4 326 • 1
9 • 9 : 3 754 • 0

Подсказка

Повтори материал о порядке действий при решении числовых выражений.

Помни, что

⇒ при умножении любого числа на 1 получается то число, которое умножили;

⇒ при умножении любого числа на 0 получается 0.

Ответ

Решение

54 : 9 • 13 = 78 48 : 2 - 18 : 9  = 22
72 : 8 • 11 = 99 64 : 8 + 84 : 4 = 29
8 • 8 : 4 = 16 326 • 1 = 326
9 • 9 : 3 = 27 754 • 0 = 0

Пояснение

1 столбик

54 : 9 • 13 = 6 • 13 = 78

1) 54 : 9 = 6

2) 6 • 13 = 6 • (10 + 3) = 6 • 10 + 6 • 3 = 60 + 18 = 78

72 : 8 • 11 = 9 • 11 = 99

1) 72 : 8 = 9

2) 9 • 11 = 9 • (10 + 1) = 9 • 10 + 9 • 1 = 90 + 9 = 99

2 столбик

8 • 8 : 4 = 64 : 4 = 16

1) 8 • 8 = 64

2) 64 : 4 = (40 + 24) : 4 =

= 40 : 4 + 24 : 4 = 10 + 6 = 16

9 • 9 : 3 = 81 : 3 = 27

1) 9 • 9 = 81

2) 81 : 3 = (60 + 21) : 3 =

= 60 : 3 + 21 : 3 = 20 + 7 = 27

3 столбик

48 : 2 - 18 : 9 = 22

1) 48 : 2 = (40 + 8) : 2 = 40 : 2 + 8 : 2 = 20 + 4 = 24

2) 18 : 9 = 2

3) 24 - 2 = 22

64 : 8 + 84 : 4

1) 64 : 8 = 8

2) 84 : 4 = (80 + 4) : 4 = 80 : 4 + 4 : 4 = 20 + 1 = 21

3) 8 + 21 = 29

Вопрос

Выберите год учебника

Стр. 71 учебника 2011-2022:

6. Найди, не вычисляя, наименьшее произведение.

1) 12 • 2 • 4

2) 3 • 12 • 4

3) 2 • 2 • 12


Стр. 71 учебника 2023-2024:

6. Найди наименьшее произведение.

1) 12 • 2 • 4

2) 3 • 12 • 4

3) 2 • 2 • 12

Подсказка

Повтори, как называются числа при умножении.

Ответ

Решение

2 • 2 • 12


Пояснение

Сначала сравним произведения

12 • 2 • 4 и 3 • 12 • 4.

В этих произведениях есть одинаковые множители, это 12 и 4. Значит, нужно сравнивать только 2 и 3. Поскольку 2 < 3, то 12 • 2 • 4 < 3 • 12 • 4.

Затем сравним произведения

12 • 2 • 4 и 2 • 2 • 12.

В этих произведениях есть одинаковые множители, это 12 и 2. Значит, нужно сравнивать только 4 и 2. Поскольку 4 > 2, то 12 • 2 • 4 > 2 • 2 • 12.

Так как 3 • 12 • 4 > 12 • 2 • 4, а

            12 • 2 • 4 > 2 • 2 • 12,

то 3 • 12 • 4 > 12 • 2 • 4 > 2 • 2 • 12.

Вопрос

Вычисли.

528 + 190 246 + 85 84 + 276

Подсказка

Повтори, как выполняется сложение трёхзначных чисел.

Ответ

Решение


Пояснение

Пишу (единицы под единицами, десятки под десятками, сотни под сотнями): 528 + 190.

Складываю единицы: 8 + 0 = 8.

Пишу под единицами 8.

Складываю десятки: 2 + 9 = 11.

11 дес. - это 1 сот. 1 дес.; 1 дес. пишу под десятками, а 1 сот. прибавлю к сотням.

Складываю сотни: 5 + 1 = 6, да ещё 1.

6 + 1 = 7.

Пишу под сотнями 7.

Читаю ответ: 718.


Пишу (единицы под единицами, десятки под десятками, сотни под сотнями): 246 + 85.

Складываю единицы: 6 + 5 = 11.

11 ед. - это 1 дес. 1 ед., 1 ед. пишу под единицами, а 1 дес. прибавлю к десяткам.

Складываю десятки: 4 + 8 = 12, да ещё 1.

12 + 1 = 13.

13 дес. - это 1 сот. 3 дес.; 3 дес. пишу под десятками, а 1 сот. прибавлю к сотням.

Складываю сотни: 2 + 0 = 2, да ещё 1.

2 + 1 = 3.

Пишу под сотнями 3.

Читаю ответ: 331.


Пишу (единицы под единицами, десятки под десятками, сотни под сотнями): 84 + 276.

Складываю единицы: 4 + 6 = 10.

10 ед. - это 1 дес. 0 ед.; 0 ед. пишу под единицами, а 1 дес. прибавлю к десяткам.

Складываю десятки: 8 + 7 = 15, да ещё 1.

15 + 1 = 16.

16 дес. - это 1 сот. 6 дес.; 6 дес. пишу под десятками, а 1 сот. прибавлю к сотням.

Складываю сотни: 0 + 2 = 2, да ещё 1.

2 + 1 = 3.

Пишу под сотнями 3.

Читаю ответ: 360.

Вопрос

Ребусы:

Подсказка

Внимательно рассмотри запись и подставь такие числа, чтобы ответы были верными.

Повтори, как выполняются внетабличные умножение и деление.

Ответ


Пояснение

23 • 4 = (20 + 3) • 4 = 20 • 4 + 3 • 4 =

= 80 + 12 = 92

96 : 4 = (80 + 16) : 4 = 80 : 4 + 16 : 4 =

= 20 + 4 = 24

Вернуться к содержанию учебника